В статье описано как подключить вентилятор имеющий отдельный вход/провод для управления оборотами двигателя, который регулируется напряжением в диапазоне 0…10В.
Подключение показано на примере вентилятора VD105-24D-G. Вентилятор имеет три провода:
Реализовать управление можно за счёт делителя напряжения. Для этого берём любой переменный/подстроечный резистор с сопротивлением в диапазоне 15 кОм … 100 кОм и подключаем как на схеме. Мощность резистора не принципиальна - ток регулировки на уровне нескольких микроампер. Вращая вал переменного резистора можно выставить необходимую скорость. На этапе регулировки можно поставить вольтметр между черным и белым проводом для контроля напряжения на белом проводе. Если измеренное напряжение выше 10 Вольт, вентилятор работать будет, но это ненормируемый режим работы. Управляющее напряжение должно быть в диапазоне 1…10 вольт. При напряжении менее 0,9 вольт вентилятор остановится.
Если не требуется регулировка скорости вентилятора, то возможен запуск мотора по упрощённой схеме: измеряется сопротивление RM между черным и белым проводами мотора (оно может быть разным на разных моделях вентиляторов). Далее рассчитывается сопротивление гасящего резистора:
Подключение показано на примере вентилятора VD105-24D-G. Вентилятор имеет три провода:
- Красный - для подключения к плюсу блока питания;
- Черный - для подключения к минусу блока питания;
- Белый - регулировка скорости вентилятора.
Реализовать управление можно за счёт делителя напряжения. Для этого берём любой переменный/подстроечный резистор с сопротивлением в диапазоне 15 кОм … 100 кОм и подключаем как на схеме. Мощность резистора не принципиальна - ток регулировки на уровне нескольких микроампер. Вращая вал переменного резистора можно выставить необходимую скорость. На этапе регулировки можно поставить вольтметр между черным и белым проводом для контроля напряжения на белом проводе. Если измеренное напряжение выше 10 Вольт, вентилятор работать будет, но это ненормируемый режим работы. Управляющее напряжение должно быть в диапазоне 1…10 вольт. При напряжении менее 0,9 вольт вентилятор остановится.
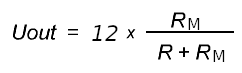
Если не требуется регулировка скорости вентилятора, то возможен запуск мотора по упрощённой схеме: измеряется сопротивление RM между черным и белым проводами мотора (оно может быть разным на разных моделях вентиляторов). Далее рассчитывается сопротивление гасящего резистора:

отсюда

Например, измеренное сопротивление мотора RM=15кОм, хотим, чтобы на белый провод поступило напряжение 10В (максимальная скорость вентилятора). Тогда гасящее сопротивление будет 21 кОм.

Аналогично для 12 вольтовых вентиляторов, только в формуле вместо 24 подставить 12. Обратите внимание, если у вас мотор и блок питания на 24 вольта, то подключение по первой схеме опасно - в одном из крайних положений регулятора возможно состояние, когда на белый провод поступит напряжение в 24 вольта, вместо максимально допустимого 10 вольт. В цепях на 24 вольта можно использовать готовый регулятор ПН1.
Если вентилятор используется в системах отопления помещений, например, напольные конвекторы, то можно использовать настенный термостат - TH-22. В термостате заложено 3 скорости управления вентилятором, либо ручное управление, либо автоматическое зависимое от температуры.
